產品簡介:
本起重機根據GB3836.1-2000《爆炸性氣體環境用防爆電氣設備**部分:通用要求》及GB3836.2-2000《爆炸性氣體環境用防爆電氣設備第二部分:隔爆型“d” 》的規定,電機、電器為隔爆型,防爆級別為ExdIICT4時,運行機機構進行防火花處理。整機符合JB/T10219-2O01《防爆梁式起重機》的規定,防爆等級分別為ExdIIBT4、ExdIICT4。具有結構合理、外形美觀、防爆性強的特點。整機與HB、BCD型防爆電動葫蘆配套使用。其*大起重量為63t。防爆梁式起重機共有三種形式:1、LXB防爆電動單梁懸掛起重機。2、LB防爆電動單梁起重機。3、LHB防爆電動葫蘆橋式起重機。工作級別為A3-A4,工作環境溫度為-25℃ ~40℃ 。歡迎來電垂詢!!
本起重機適用于工廠內具有防爆級別不高于B級或C級,引燃溫度組別不低于T4(135℃ )組的可燃性氣體、蒸汽與空氣形成的爆炸性氣體環境中,所適用的危險區域為1區或⒉區,不適用于0區。
注:0區:在正常情況下,爆炸性氣體混合物連續地、短時間頻繁地出現或長時間存在的場所。
1區:在正常情況下,爆炸性氣體混合物有可能出現的場所。
產品簡圖:

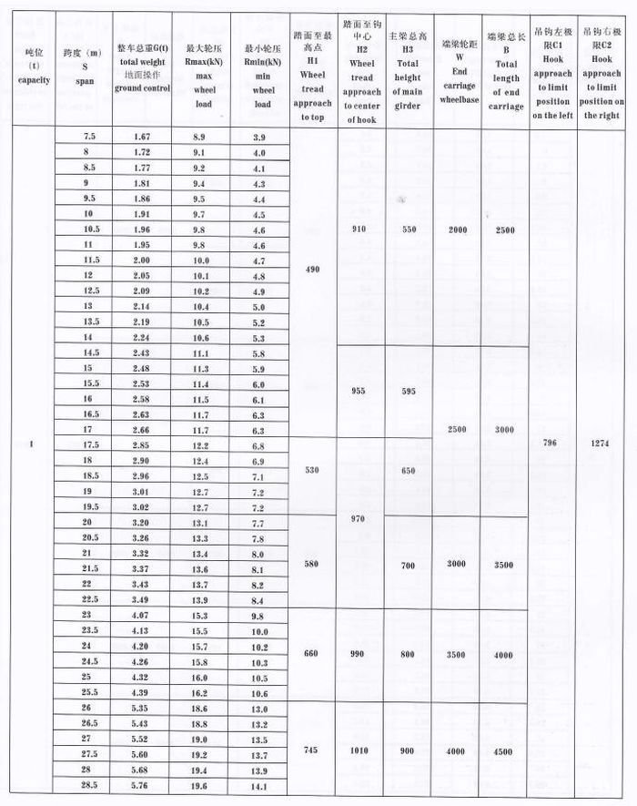
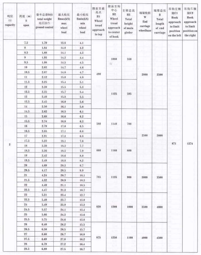
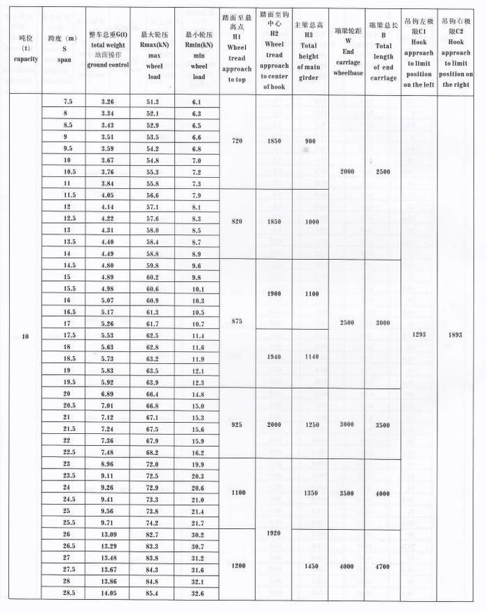
技術參數:








- 上一篇:沒有了;
- 下一篇:LXB型防爆單梁懸掛起重機


